
The global ocean is currently behaving like a pressurized steam boiler. As of April 2026, we are witnessing a convergence of climatic signals that suggest the traditional playbook for hurricane forecasting is being rewritten by unprecedented thermal energy. Recent data from the National Oceanic and Atmospheric Administration (NOAA) confirms that March 2026 was the second-warmest March on record, trailing only the extreme peaks of 2025. This persistent warmth is not merely a statistical anomaly; it is the fundamental driver behind a new era of “supercharged” hurricanes.
The Ocean as a Heat Engine
To understand why a warming ocean is so dangerous, one must view a hurricane through the lens of thermodynamics. A tropical cyclone is essentially a heat engine that converts the thermal energy of the ocean surface into kinetic energy in the form of wind.
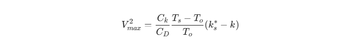
The theoretical limit of a storm’s strength is known as its Potential Intensity (PI). This is calculated by looking at the temperature difference between the warm ocean surface and the very cold upper atmosphere. The mathematical framework for this, pioneered by climatologist Kerry Emanuel, can be expressed as:

In this equation, Ts represents the sea surface temperature, and To is the temperature at the top of the storm (the outflow). As Ts increases due to marine heatwaves, the energy gradient steepens. This doesn’t just make storms slightly stronger; it raises the ceiling of how powerful they can become. When a hurricane moves over a patch of water that is 2 C to 3 C above average—a common occurrence in recent years—it is effectively hitting a “nitro boost” on a race track.
Marine Heatwaves: The Invisible Superchargers
A marine heatwave (MHW) is defined as a period where ocean temperatures stay in the top 10% of historical records for five days or more. In the past, these were rare events. Today, they are ubiquitous.
A groundbreaking study published in Science Advances in April 2026 has finally quantified the cost of these heatwaves. Researchers found that tropical cyclones passing over marine heatwaves produce 93% more economic damage than those that do not. The study, which analyzed nearly 800 storms between 1981 and 2023, concludes that these “supercharged” storms are characterized by:
- Higher peak rainfall: Warmer air holds more moisture (approximately 7% more for every 1 C of warming), leading to catastrophic flooding.
- Increased maximum wind speeds: Storms are reaching higher Saffir-Simpson categories faster than ever before.
- Rapid Intensification (RI): This is the most dangerous byproduct of ocean heat, defined as an increase in maximum sustained winds of at least 35 mph in 24 hours.
“The entire strength of the tropical cyclone depends on how hot the ocean surface is. A marine heatwave means we have an abundance of hot water that acts like a gas station. As you move over it, it’s going to supercharge you.” — Dr. Hamed Moftakhari, University of Alabama.
The Nightmare of Rapid Intensification
Rapid intensification is the “holy grail” of hurricane forecasting and the primary source of modern meteorological anxiety. When a storm intensifies just before landfall, it leaves coastal communities with no time to evacuate or reinforce structures.
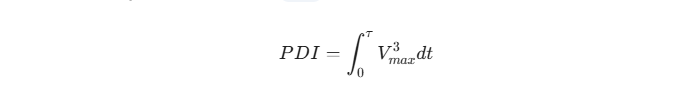
We saw this clearly during the 2024 and 2025 seasons. In 2024, every single Atlantic hurricane was intensified by human-caused ocean warming. Hurricane Helene and Hurricane Milton were prime examples. Analysis from Climate Central indicates that climate change added roughly 10 mph to Helene’s winds and 8 mph to Milton’s. While those numbers might seem small, the destructive power of wind increases exponentially with speed. This is measured by the Power Dissipation Index (PDI):

Because the velocity term is cubed, a small increase in wind speed results in a massive jump in the force exerted on buildings and infrastructure. In the case of recent major hurricanes, ocean heat has been the difference between a manageable Category 2 storm and a devastating Category 4.
The 2026 Paradox: El Niño vs. The Warm Atlantic
As we approach the peak of the 2026 hurricane season, meteorologists face a complex puzzle. Current data shows a massive Kelvin Wave—a pulse of warm water—moving across the Pacific. This is expected to trigger a record-strength El Niño by late 2026.
Typically, El Niño is the “savior” for the Atlantic. It creates high vertical wind shear, which acts like a giant pair of scissors, chopping off the tops of developing storms before they can organize. However, there is a catch: the Atlantic remains record-warm.
The April 2026 Seasonal Hurricane Forecast predicts 13 named storms and 6 hurricanes—slightly below the long-term average. But experts warn against complacency. Even in a “below-average” year, the presence of marine heatwaves means that any storm that does manage to form could rapidly become a monster. We are moving into a world where the frequency of storms may fluctuate, but the intensity of the ones that survive the shear is significantly higher.
The Human and Economic Toll
The shift in hurricane behavior is already being felt on nations’ balance sheets. The Science Advances study noted that marine heatwaves have led to a 60% increase in “billion-dollar disasters” since 1981. This isn’t just because we are building more on the coast; even when controlling for development, the storms themselves are more lethal.
Coastal residents from Florida to the Philippines are facing a “new normal” where:
- Evacuation windows are shrinking due to late-stage rapid intensification.
- Storm surge is deeper because warmer water expands (thermal expansion) and stronger winds push more water inland.
- Recovery is slower because “compound events”—like two major hurricanes hitting the same area in weeks (e.g., Helene and Milton)—are becoming more likely as the “favorable” season for intense storms expands.
Looking Ahead: Loading the Dice
The consensus among the IPCC and NOAA is clear: while we may not see more hurricanes in total, the ones we do see will be more intense. We are effectively “loading the dice.”
By the end of the 21st century, if current warming trends continue, the proportion of Category 4 and 5 storms is projected to increase significantly. Rainfall rates near the center of these storms are expected to rise by up to 15%. For a city like New Orleans or Miami, these are not just statistics—they are existential threats.
As we move deeper into 2026, the focus must shift from merely tracking “where” a storm is going to “how fast” it can grow. The heat is already in the water; the fuel is in the tank. The only question that remains is when the next spark will fly.
Sources Used and Links:
- Climate Impact Company: Upper Ocean Heat Surge Supports Record-strength El Nino Risk for 2026!
- ArcGIS StoryMaps: April 2026 Seasonal Hurricane Forecast
- Climate Central: Climate change increased wind speeds for every 2024 Atlantic hurricane: Analysis
- Carbon Brief: Marine heatwaves ‘nearly double’ the economic damage caused by tropical cyclones
- WLRN / AP News: Worsening ocean heat waves are ‘supercharging’ hurricane damage, study finds
- NOAA National Centers for Environmental Information (NCEI): Assessing the Global Temperature and Precipitation Analysis in March 2026
- NOAA Geophysical Fluid Dynamics Laboratory (GFDL): Global Warming and Hurricanes
Disclaimer
Artificial Intelligence Disclosure & Legal Disclaimer
AI Content Policy.
To provide our readers with timely and comprehensive coverage, South Florida Reporter uses artificial intelligence (AI) to assist in producing certain articles and visual content.
Articles: AI may be used to assist in research, structural drafting, or data analysis. All AI-assisted text is reviewed and edited by our team to ensure accuracy and adherence to our editorial standards.
Images: Any imagery generated or significantly altered by AI is clearly marked with a disclaimer or watermark to distinguish it from traditional photography or editorial illustrations.
General Disclaimer
The information contained in South Florida Reporter is for general information purposes only.
South Florida Reporter assumes no responsibility for errors or omissions in the contents of the Service. In no event shall South Florida Reporter be liable for any special, direct, indirect, consequential, or incidental damages or any damages whatsoever, whether in an action of contract, negligence or other tort, arising out of or in connection with the use of the Service or the contents of the Service.
The Company reserves the right to make additions, deletions, or modifications to the contents of the Service at any time without prior notice. The Company does not warrant that the Service is free of viruses or other harmful components.









